忍者ブログ

インデックス・ドライバー

eMAXIS8資産均等型のリバランスボーナスの確認(2015/02/27)

×

[PR]上記の広告は3ヶ月以上新規記事投稿のないブログに表示されています。新しい記事を書く事で広告が消えます。

コメント

ただいまコメントを受けつけておりません。

eMAXIS8資産均等型のリバランスボーナスの確認(2015/02/27)

1番じゃないとダメなんですか?(リスクとリターンの等価性について)」で考察した「リバランスボーナス」をeMAXIS8資産均等型と個別8資産の基準価額で確認します。特に、今後の課題とした「リバランスボーナスがリバランスコストで相殺されていないか」を確認します。

【固定端バージョン(年率換算)】

【平滑化バージョン(年率換算)】

「固定端」が原点を基準とした低周波成分を表し、「平滑化」が20日周期のローパスフィルタで高周波成分を抽出したものです。ブルーのラインが基準価額から求めたリバランスボーナスの「実測値」です。マゼンタのラインがリバランスボーナスの「理論値」をバラのリターンから解析的に求めたもの、グリーンのラインがシグマから理論的に求めたもので、両者はほぼ完全に重なっています。参考として均等型とバラの平均における損益とリスク(20日周期)の差分も示しています。

【考察】
①実測値が正(低周波成分で年率~0.5%)
→リバランスボーナスが現実に存在することを確認

②理論値に対して実測値がわずかに小さい(低周波成分)
→これが日々のリバランスコストではないかと推定。ゼロではないが相殺まではされていない。

③リスクの変動とリバランスボーナスがリンクしている(高周波成分)
→リバランスボーナスがシグマの関数であることとコンシステント

④短期的には実測値と理論値の位相ずれが起こり実測が理論を超えることがある(高周波成分)
→市場変動に対するバランス型ファンドの応答性(時定数~10日)が見えているのではないか。

②はeMAXIS8の運用管理費用がバラ売りの平均より低い成分(税抜0.025%)も微妙に含まれているはずなので、例えば低周波の2015/02/27における実測値と理論値との差が-0.032%より、0.025+0.032=0.057%程度がリバランスコストではないかと推測します。

この「リバランスボーナス」という統計量はリバランスが機能していれば必ずプラスになると考えられます(コストを除く)。この機能を「リバランス追従性」とでも呼びましょうか。このプロットはバランス型の運用がうまくいっているかの指標になりうると思います。なお運用初期でマイナスなのは数値化の母数が足りていないことが主要因だと思います。

ここで今一度「リバランスボーナス」の定義を確認します。

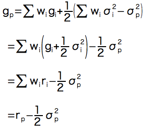
【理論式】

「gp」が均等型の相乗平均、「Σwigi」がバラの相乗平均の加重平均、「(1/2)*(Σwiσi^2-σp^2)」がリバランスボーナス項。均等型のシグマ「σp」は相関により低減しているのでバラの加重平均との差異が生じることが示されます。個人的には均等型の"低減された"消失リターン「-(1/2)σp^2」が相加平均「rp」を喰らうと捉える方が理解しやすいです。

【ポンチ絵】

「ノイズキャンセル効果(ポートフォリオ)」と書かれた部分を求めています。シグマで痛んだ相乗平均リターンを合成リスクの低減により回復させるというイメージです。

【まとめ】
リバランスボーナス獲得のために頻繁なリバランスを手動で行うのは課税ロス、手間という意味で現実的ではない。バランス型はリバランスボーナスを実現する「手段」として合理的である。またeMAXIS8やスタムidx、世界経済idxのように運用管理費用がバラ売りファンドの加重平均より低いことと合わせてバランス型を採用するための論理的根拠となりうる(もちろん同一シリーズに限定しなければより低コストのファンドの組み合わせも存在しますし、上記のようにリバランスコストもゼロではありません)。

ただし繰り返しになりますが注意したいことがあります。

【注意点】
①バランスファンドのように決められた配分にリバランスしないと定式化された通りのリバランスボーナスは得られない、ということ。

②「分散はしてもリバランスしないほったらかしポートフォリオ(リバランスレスポートフォリオ)」に対する優位性は市場環境に依存する、ということ。(リバランスボーナスはウェイトが固定された場合に個別資産の相乗平均の加重平均より大きくなることを言っているだけで、ウェイトが連続的に変化するリバランスレスポートフォリオとの関係は触れられていない。)

特に②を定量化したのが上記プロットの「損益 均等型-バラ合計」です。このように「常時リバランスの均等型」と「ほったらかしのバラ売りの平均」とのトータルの差分は、リバランスボーナスによらず、市場環境によってプラスにもマイナスにも変動します。

少なくともこの期間に限ればリバランスボーナスが年率約0.5%、「損益 均等型-バラ合計」が年率約-1%で、リバランス頻度による弊害の方が相対的に大きくなっているようです。

リバランスポートフォリオとリバランスレスポートフォリオ、これらは対になるものだと考えます。いつもの話ですが、もし判断に迷うことがあればこのふたつも等配分して持てばいいと思います。気をつけたいことはリバランスボーナスを得ることが「目的」になってはいけないという点です(リバランスの主目的はリターン向上ではなくリスク維持)。なお先日も書きましたが、これは考察の記録であり特定の投資判断を推奨するものではないです。

(関連記事)

コメント

カレンダー

12 2026/01 02
S M T W T F S
1 2 3
4 5 6 7 8 9 10
11 12 13 14 15 16 17
18 19 20 21 22 23 24
25 26 27 28 29 30 31

最新記事

最新コメント

[02/04 Rocky]
[02/03 晩酌男]
[12/14 晩酌男]
[12/06 Rocky]
[12/05 NONAME]

ブログ内検索

アーカイブ

プロフィール

HN:
Rocky
性別:
男性
職業:
技術系

忍者ブログ広告
PR