忍者ブログ

インデックス・ドライバー

ハイリスク・ローリターンの法則

×

[PR]上記の広告は3ヶ月以上新規記事投稿のないブログに表示されています。新しい記事を書く事で広告が消えます。

コメント

ただいまコメントを受けつけておりません。

ハイリスク・ローリターンの法則

「消失リターン」「シグマによる相加平均の消滅」「ロスト・リターン」「リスクに浸食される相乗平均」「ディサピアランスオブアリスメティックミーン」といった表現を端的に言い換える言葉を思いつきました。

「ハイリスク・ローリターンの法則」

【Introduction】
ところで、インデックス投資においては参考書がなくても困らないと思っています。「テクニカル」や「ファンダメンタル」、あるいは「効率的市場」といった定性的な金融の論理はインデックス投資に必要ないですし、理屈だけでなく心構えなどを含めても最終的には自分で考えて経験しないとわからないと思っています(株式市場や投資信託の歴史は戒めとして知っておいた方がよいかも知れません)。

そもそも、本を買うこと、読むことが目的になっては意味がないと考えています。自ら考察し、試行錯誤して実践することに意味があると思うからです。その「本を買って終わり」という私の典型的な実施例が「ウォール街のランダム・ウォーカー(原著第9版)」です。

最初知った時は「ランダムウォーク」と書かれているので物理の「ブラウン運動」の理論(ランジュバン方程式やウィナー過程など)が出てくるのかと思ったらそんなことはなく、今読み直してみても、

◆対数正規分布、ローレンツ分布などの確率分布とその確率解釈
◆相加平均と相乗平均とシグマとの関係
◆統計的集合論(最小分散、イコールウェイト、最大SR、・・・)

などが記載されておらず、インデックス投資の代表的な教科書にしては全然足りていないと感じます。統計学における誤差伝搬(リスクの合成)は具体的な数値で計算例が書いてありますが、一般形やその導出も記載しておけばいいのにと思います。数学や統計を用いて議論したり判断したりすることは一般では当たり前ですし、少なくともポートフォリオ理論が特別なことをしているわけではないと考えています。ポートフォリオ理論は誤差論(参考「誤差伝搬法則」)を価格変動に適用しただけで、例えばシュレーディンガーのように波動方程式を導いたものではないと思います。

また『リスクは投資期間に依存する(P.394)』『ドル・コスト平均法はリスクを効果的に軽減する(P.397)』など、ミスリードも見られます(「リスク」の定義次第ですが個人的には間違いと思っています)。

あと『インデックス・ファンドを買う』ことが『思考停止型(P.434)』とされていますが、インデックス投資は統計を駆使してシグマを管理するものです。決して思考停止ではありません。この本がインデックス投資の実践という重要な部分で自ら「思考停止」と言ってしまっていることが、インデックス投資(パッシブ投資)は思考停止でいいという風潮がまかり通る原因ではないか。

・・・ということを思いながら、今回改めて読み直してみて発見したことがあります。それは「ベータ」を否定していることです。当初私も金融の論理である「ベータ」には興味がなく、ほぼスルーしていたのですが、最近になって「時価総額加重平均」を否定する材料として「ベータ」を知りました。

「ベータ(β)」とは『システマティック・リスクを数値で示したもの』

この「ベータ」というよくわからない理屈に統計学をブレンドして再考してみたいと思います。

【「ベータ(β)」と期待リターンとの関係】

P.279の『図3:平均月次リターンとベータ(1963~90年)』を解析的に記述したものです。ここでは横軸の「ベータ」をシグマでプロットしています。私は数学的に導出しましたが、ウォール街のランダムウォーカーではデータにより実績として示され、結論は『リターンとベータの間には何の関係もなかった』となっています(個人的には何の関係もないのではなく、もっと統計を上げれば上に凸の放物線で近似できるのではないかと考えています)。

【数学的考察】
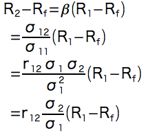
相加平均が共分散にリニアに応答すると仮定して、R1をmarketの相加平均、R2を着目する要素の相加平均、Rfを「リスクフリーレート」と置くと「CAPM」の定義より


ここで共分散を相関係数と標準偏差シグマを用いて書き換えると、


ゆえに定義式は


ここで相加平均(R)を相乗平均(g)に書き換えると、


したがって、

【「ベータ」型ハイリスク・ローリターンの法則】

【解釈】
この式は標準偏差σ2の二次関数で表されています。またシグマの自乗で効く項は符号がマイナスです。ゆえに「ベータ」の理屈でリターンを高めるためにシグマ(共分散)をいくら大きくしようと二次関数の性質からどこかで負に転じます。

上のグラフはRf=0、σ1=20%(market)と置いた時の相乗平均g2の振舞いです。数学的にリターンと「ベータ」との関係は示すことができ、シグマが存在すれば相乗平均SRが低下し非効率であることが示せると考えています(シャープレシオ「g2/σ2」をσ2で微分すると負のコンスタント(単調減少)になるため)。

σ2>0のとき、S/N(効率性)は


σ2で微分して


ゆえに「CAPM」および「ベータ」の論理は市場で実証するまでもなく数学的に否定されることがわかります(「ベータ」が否定されればそれを拠り所としている「時価加重(市場平均)」も否定される)。

この論理の重大な欠陥は複利(指数関数)の概念と長期的な時間軸の視点が欠落していること。統計を駆使してシグマを低減させたのにリターンも減らされてはたまったものではありません。矛盾どころか誤差伝搬法則を完全に無視しています。

ちなみに共分散によらない一般の「リターンを蝕むリスク(シグマによる相乗平均の減価)」タイプの法則は以下のようになります。

【通常型ハイリスク・ローリターンの法則(相加平均と相乗平均との関係)】

少なくとも私としては個々の要素の相乗平均がマーケットのシグマと相関(共分散)に依存することはないと考えています(構成要素から加重平均は求められても積分的なので不可逆という認識)。

なおポートフォリオを構成したときのシグマ低減による「リバランスボーナス」はこの裏返しです。あちらは分散でシグマが低減すると相乗平均リターンが改善するという「ローリスク・ハイリターンの法則」と位置付けられます。

【定量性と論点の明確化】
ところでこの本って所々結論が曖昧なんですよね。「ベータ」もダメだとかまだ使えるとか、結局何が言いたいのかわからず「どっちなんだよ」とツッコミたくなるところが多々あります。

数式を用いて定量的に議論すれば曖昧さは解消すると思いますし、少なくとも期待リターンが「相加平均」なのか「相乗平均」なのかをはっきりさせれば論点が明確になるのではないかと思います。相加平均なら「ベータ」に比例するという仮定を置くことで相乗平均を定式化できると考えられます(P.275『図2:資本資産評価モデル(CAPM)に基づくリスクとリターンの関係』、P.393『リスクとリターンは正比例する』などは相加平均についての記述と考えています)。

個人的には「ベータ」は単に市場平均で規格化したシグマに過ぎず、リターンとの関係を直接的に議論するものではないと理解しています。リターン(相乗平均)は規格化前のシグマ(標準偏差)に依存し、シグマの自乗に比例して欠損するものと考えています。

質量欠損ならぬリターン欠損は以下で考察しています。


この本も定性的な金融の論理の部分を統計学的思考と式で置き換えるような感じでもっと上を求めてもいいと思います。他の手法をダラダラ否定するのにページを割くよりも、インデックス投資が合理的であることの理論的な根拠を数学で示すことに費やしてほしいと思います(宇宙的に普遍な根拠があれば他の手法を気にする必要は無い)。少なくとも教科書に真実がすべて書いてあると思わない方がよいと思います。

【実はここからが本題】
「ベータ」について確認したところで、そろそろ本題に入って終わりたいと思います。それは「ベータ」を否定するならついでに「時価総額比率(市場平均)」も否定してほしいということです。私の考察では「時価加重の出発点である「ベータ」の理屈が統計的に誤りなので自動的に時価加重の根拠も崩れる」というストーリーになっています。

時価総額比率の「破れ」は以下で考察しています。


個人的には「時価加重の理屈は結果に対する非論理的なつじつま合わせに過ぎない」と考えています。市場平均は統計的に合理なのではなく、単なる「アズグロウン」という理解です。

ただし、この本はインデックスの主流である時価総額加重平均の証明(なぜ効率的なのか)は記載されていません(そもそも根拠が無いのだから時価加重の証明は存在しないのが正しいと考えています)。インデックスの加重方法どころか時価総額の記述すら限られます。だから時価加重と「ベータ」との関係も示されていないのですが、それを含めて記載していただけると統計インデックスの有用性が明らかになるのではないかと考えています。

あと市場効率性がインデックス(統計)の構成要件ではないことも。インデックス投資(パッシブ投資)では「市場(投資家)は合理的であり、市場の総意である時価総額加重平均が効率的」とされます。上記考察の通り、私はそうは思っていません。

合理的なら、例えば利上げ程度でいちいち騒がないですよね。事前に対策しているはずなので。なぜ市場の「あの動き」を効率的なものと捉えられるのか。おかしな理屈を放置してきた結果が今のインデックス投資(パッシブ投資)と認識していますので、早急な対策と修正をお願いしたいです。

これくらい知られた本が明示してくれれば、インデックス投資業界にも少しは浸透するのではないか、そして信託報酬競争の後の統計インデックスへのシフトも比較的スムーズに進むのではないかと考えています。

※最新刊ならびにその他の書籍、論文等にこれらの記載または否定がありましたらお手数ですがご指摘をお願い致します。

【余談ヨルダン:ハイリスク・ハイリターン/ローリスク・ローリターンの法則】
ちなみに今回の考察は、ハイリスクの場合に「中央値」がローリターンになるようなイメージです。それに対して、いわゆる「喰うか喰われるか」のような、リスクとリターンに基づいて取りうる値を確率的な変動の大きさとして記述する方の法則は以下で考察しています。


個人的にはこの解釈もウォール街のランダムウォーカーと異なります。あちらはレバレッジをかけることを『リスクをとってリターンを高める(P.267)』と言っています。結局それも上記「ハイリスク・ローリターン(いわゆる消失リターン)」によって中央値がかき消されてしまうと考えています。そのtypicalな例が以下のゲイン系インデックスです。


少なくとも私は、インデックス投資とは「シグマの端で当てようとすることではない」と思っています。

(関連記事)

コメント

カレンダー

12 2026/01 02
S M T W T F S
1 2 3
4 5 6 7 8 9 10
11 12 13 14 15 16 17
18 19 20 21 22 23 24
25 26 27 28 29 30 31

最新記事

最新コメント

[02/04 Rocky]
[02/03 晩酌男]
[12/14 晩酌男]
[12/06 Rocky]
[12/05 NONAME]

ブログ内検索

アーカイブ

プロフィール

HN:
Rocky
性別:
男性
職業:
技術系

忍者ブログ広告
PR